18 年
手机商铺
公司新闻/正文
363 人阅读发布时间:2022-09-21 11:50

嵌合抗原受体T细胞免疫疗法(Chimeric Antigen Receptor T-Cell Immunotherapy,CAR-T),是通过基因工程技术将自体或异体T细胞改造成针对肿瘤特异性抗原的新型杀伤细胞,该疗法已经在血液肿瘤的治疗上取得了瞩目的成效。CAR-T细胞免疫疗法的临床前研究,是成药中关键且漫长的一步,包括了靶点发现、抗体的开发、scFv筛选、CAR-T细胞的构建、CAR-T细胞体外抗肿瘤活性和CAR-T细胞体内抗肿瘤活性评估等多个重要环节。
流式细胞术是一种可对悬浮于流体中的微小颗粒进行计数和分选的技术,由于其高效、简便、准确等特点,已经广泛应用于CAR-T细胞治疗的各个环节。下面带大家了解流式细胞术在CAR-T临床研发前的应用。
一、检测靶点抗原的表达丰度
CAR-T细胞通过其scFv精准识别肿瘤细胞上的抗原并发挥杀伤作用,因此筛选理想的靶点抗原是一个重要的步骤。筛选高特异性的靶点抗原,需要检测靶点抗原在所有细胞中的表达丰度,筛选到在肿瘤细胞高表达且在正常细胞不表达或低表达的抗原,以此尽可能避免CAR-T细胞疗法的毒副作用。流式细胞术在这个过程中有重要的应用。比如下面的报道中,作者通过流式细胞术检测了靶点抗原BCMA的分布情况,发现BCMA在正常和肿瘤PC细胞上均高表达。而在正常组织中不表达或低表达。
图1 流式细胞术检测靶点抗原的表达丰度[1]
二、病毒滴度检测
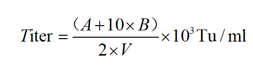
CAR-T临床研发前需要构建CAR-T细胞和抗原过表达的肿瘤细胞模型,用于后续评估CAR-T细胞的抗肿瘤能力。一般而言,通过能够编码目的序列的慢病毒来侵染对应的细胞系,可高效构建上述的稳转细胞模型。在这个过程中,慢病毒的滴度是受到严格质控的。流式细胞术是其中一种检测慢病毒活性滴度的重要手段。下面以一个实例介绍流式细胞术在慢病毒滴度检测方面的应用:
我们需要检测CD19抗原慢病毒的滴度,将能编码CD19抗原的慢病毒纯化液以0.01、0.1、1、10μl四个梯度分别加入到事先接种的293T细胞中,72小时后流式检测293T细胞CD19抗原的阳性率(即被慢病毒感染的293T细胞占细胞总数的百分比),进而按如下公式计算慢病毒的转导滴度:
A:表示0.1μl组阳性细胞占比
B:表示0.01μl组阳性细胞占比
N:加入病毒时候细胞数量
V:表示A组中病毒的加入体积
图2 CD19抗原慢病毒滴度检测结果
(数据来源:赛业生物)
如图所示,CD19抗原阳性细胞的数量随转染病毒梯度的增加而逐渐升高,表明该慢病毒有良好的感染活性,并按上述公式计算病毒滴度为:1.4×108Tu/ml。
同样地,采用上述方法检测CD19 CAR慢病毒滴度,经计算后得到病毒滴度约为:4.33×108Tu/ml。
图3 FMC63 CAR慢病毒滴度检测结果
(数据来源:赛业生物)
三、CAR-T细胞表型分析以及CAR阳性率(或过表达抗原细胞模型的抗原阳性率)
对于构建好的CAR-T细胞,在进行功能验证前需要检测其表型和CAR分子的阳性率。流式细胞术可有效检测CAR-T细胞表面的标志蛋白和CAR分子的阳性率。同理,对于构建的过表达抗原细胞模型,也可通过流式细胞术检测抗原表达情况。下面通过实例进行介绍。
▶ 检测T细胞的表型及CD19 CAR-T细胞阳性率阳性率
对两种方法制备T细胞用抗体标记后表型进行分析,结果显示两种方法均能获得高纯度的T细胞,但二者扩增出来的不同亚型T细胞的占比有较大的差异,Method1扩增出来的T细胞以CD8+T细胞亚型为主,而Method2可扩增出CD8+T细胞和CD4+T细胞占比差异较小的T细胞群体,这两种方法为研究不同亚型T细胞的作用奠定了坚实的基础。同时,我们用CD19 CAR慢病毒转染Method1扩增出来的T细胞,构建CD19 CAR-T细胞,并使用流式法检测CAR蛋白的表达效率,结果显示CD19 CAR-T的阳性率可达到45.59%,表明我们成功构建了CD19 CAR-T细胞。

图4 T细胞表型分析及FMC63 CAR-T细胞阳性率检测。A.PBMC活化扩增第十天T细胞占比及表型分析实验结果。B.FMC63 CAR-T细胞CAR阳性率检测结果。(数据来源:赛业生物)
▶ 质控CD19-293T细胞株构建
通过CD19慢病毒感染293T细胞,构建CD19稳定表达的293T细胞株,并采用流式检测其抗原CD19的高表达。
四、体外检测CD19 CAR-T细胞的杀伤效果
将CAR-T细胞与肿瘤细胞或构建的抗原过表达细胞模型混合,检测肿瘤细胞或抗原过表达细胞模型的死亡,可反映CAR-T细胞杀伤效果。其中,通过流式细胞术可检测肿瘤细胞的凋亡情况。如下面的这个实例:
将CD19 CAR-T细胞和T细胞分别以不同效靶比同Nalm6细胞共孵育48h,随后流式法检测肿瘤细胞凋亡。如图所示,与T细胞组相比,不同效靶比条件下,CD19 CAR-T细胞均展现出了对Nalm6细胞明显增强的特异性细胞毒性作用。同时细胞培养上清中细胞因子含量检测结果也显示,同肿瘤细胞共孵育后CD19 CAR-T细胞因子IFN-γ分泌量相比于T细胞具有显著的增强。
图6 CD19 CAR-T细胞杀伤Nalm6肿瘤细胞实验结果。A.Nalm6细胞表面CD19抗原阳性率检测结果;B-C.FMC63 CAR-T细胞杀伤Nalm6肿瘤细胞和上清细胞因子检测实验结果。(数据来源:赛业生物)
五、监控体内CAR-T细胞的治疗效果
在体外验证CAR-T细胞的表型与杀伤效果后,就可以进行体内实验。将CAR-T细胞注射到肿瘤小鼠模型(比如:NSG,C-NKG,NOG等),接着取不同天数的外周血样(Peripheral blood, PB),使用流式细胞术分析,便可以监测CAR-T细胞在体内的增殖活性、细胞表型和杀伤能力。
六、总结
CAR-T疗法是肿瘤治疗领域最具前景的方向之一,是一种“治愈”癌症的治疗方法。其临床前研究需要经历多个重要的环节,而每个环节都需要严格的质控标准。近年来,随着流式细胞术的不断发展,并且基于其自身的优势特点,必将更广泛的应用于CAR-T细胞治疗产品开发的各个环节。
赛业生物细胞治疗一站式解决方案 助力肿瘤免疫细胞治疗临床前研究
在CAR-T及其他细胞治疗的临床前研究中,细胞模型、动物模型的选择都至关重要,明确研究的目的,建立有效的实验模型和方案,会使研究事半功倍。赛业生物提供细胞治疗一站式服务,从抗体筛选到稳转株构建,从建立细胞/动物模型到药效学评价,更好地加速CAR-T及其他细胞治疗研发进程。如有需要,欢迎联系我们咨询~

赛业生物可为CAR-T及其他细胞治疗的研究者提供一站式解决方案,包括病毒载体制备、肿瘤免疫模型构建到体内体外药效评价等全流程服务,为CAR-T及其他细胞治疗研发提供全方位支持。
预知更多详情,快快扫码下载吧!
立即扫码申请
参考文献:
Bu DX, Singh R, Choi EE, et al. Pre-clinical validation of B cell maturation antigen (BCMA) as a target for T cell immunotherapy of multiple myeloma. Oncotarget. 2018;9(40):25764-25780.